nformation available to many applications like Business, Medical, Geological, Control Systems, etc is incomplete or uncertain. The fuzzy logic will deal with incomplete information with belief rather than likelihood (probable). Zadeh formulated uncertain information as fuzzy set with a single membership functions. The fuzzy set with two membership functions will give more evidence than a single membership function. The two-fold fuzzy set is with fuzzy membership functions "Belief" and "Disbelief". Usually, in Medical and Business applications, there are two opinions like "Belief" and "Disbelief" about the information and decision has to be taken under risk. For instance, in Mycin [1], the medical information is defined with belief and disbelief i.e.
where "e" is the evidence for given hypothesis "h". The fuzzy set is used instead of Probability to define fuzzy certainty factor.
The fuzzy neural networks are one of the learning techniques to study fuzzy problems. In the following, some methods of fuzzy conditional inference are studied through fuzzy neural network and before that preliminaries of fuzzy logic and neural network are discussed.
In the following fuzzy logic [10] and Generalized fuzzy logic [9] are studied briefly. The fuzzy Certainty Factor is studied and fuzzy Decision set is proposed. The fuzzy inference and fuzzy reasoning are studied for fuzzy Decision set. The Business applications are studied as applications of fuzzy Decision set.
Author: e-mail: pvsreddy@hotmail.co.in II.
Various theories are studied to deal with imprecise, inconsistent and inexact information and these theories deal with likelihood whereas fuzzy logic with belief. Zadeh [10] has introduced fuzzy set as a model to deal with uncertain information as single membership functions. The fuzzy set is a class of objects with a continuum of grades of membership. The set A of X is characterized by its membership function µA(x) and ranging values in the unit interval For instance "Rama has mild headache" with Fuzziness 0.4
[0, 1]. µA(x): X ?[0, 1], x ? X,The fuzzy logic is defined as combination of fuzzy sets using logical operators [21]. Some of the logical operations are given below Let A, B and C are fuzzy sets. The operations on fuzzy sets are
Negation If x is not A A'=1-µ A (x)/xx is A and y is B? (x, y) is A x B A x B=min(µ A (x)), µ B (y)}(x,y)
x is A and y is B? (x, y) is A?B
A?B=min(µ A (x)), µ B (y)}/x x is A or y is B? (x, y) is A' x B' A' x B' =max(µ A (x)), µ B (y)}(x,y) If x=y x is A and x is B? (x, x) is A V B AVB=max(µ A (x)), µ B (y)}/x Disjunction Implication If x is A then y is B =A?B = min{1, 1-µ A (x)) +µ B (y)}/(x,y) if x= y A?B= min {1, 1-µ A (x)) +µ B (y)}/x If x is A then y is B else y is C= A x B + A' x CThe fuzzy proposition "If x is A then y is B else y is C" may be divided into two clause "If x is A then y is B " and "If x is not A then y is C"
[15] If x is A then y is B else y is C =A?B= min {1, 1-µA(x)+ µB(y)}/(x,y) If x is not A then y is B else y is C =A'? C = min {1, 1-µ A (x)) +µ C (y)}/(x,y) Composition A o B= A x B=min{ µ A (x)), µ B (y)}/(x,y) If x = y A o B==min{ µ A (x)), µ B (y)}/x CompositionThe fuzzy propositions may contain quantifiers like "Very", "More or Less". These fuzzy quantifiers may be eliminated as
Concentration x is very A µ very A (x)), =µ A (x) ²x is very A µ more or less A (x) =µ A (x) 0.5
Since formation of the generalized fuzzy set simply as two-fold fuzzy set and is extension Zadeh fuzzy logic. The fuzzy logic is defined as combination of fuzzy sets using logical operators. Some of the logical operations are given below Suppose A, B and C are fuzzy sets. The operations on fuzzy sets are given below for two-fold fuzzy sets.
Since formation of the generalized fuzzy set simply as two-fold fuzzy set, Zadeh fuzzy logic is extended to these generalized fuzzy sets.
Negation A?= {1-µ A Belief (x), 1-µ A Disbelief (x) }/x Disjunction AVB={ max(µ A Belief (x) , µ A Belief (y)), max(µ B Disbelief (x) , µ B Disbelief (y))}(x,y) Conjunction A?B={ min(µ A Belief (x) ,µ A Belief (y)), min(µ B Disbelief (x) , µ B Disbelief (y)) }/(x,y) Implication A?B= {min (1, 1-µ A Belief (x) + µ B Belief (y) , min ( 1, 1-µ A Disbelief (x) + µ B Disbelief (y)}(x,y) If x is A then y is B else y is C = A x B + A' x C If x is A then y is B else y is C =A?B = {min (1, 1-µ A Belief (x) + µ B Belief (y) , min ( 1, 1-µ A Disbelief (x) + µ B Disbelief (y)}/(x,y) if `A If x is not A then y is B else y is C =A??C = min (1, µ A Belief (x) + µ C Belief (y) , min (1,µ A Disbelief (x) + µ C Disbelief (y)}(x,y) Composition A o R= {min x ( µ A Belief (x), µ A Belief (x) ), min x ( µ R Disbelief (x), µ R Disbelief (x) )}/yThe fuzzy propositions may contain quantifiers like "very", "more or less". These fuzzy quantifiers may be eliminated as
Concentration "x is very A µ very A (x) = { µ A Belief (x) 2 , µ A Disbelief (x)µ A (x) 2 }Diffusion "x is more or less A" µ more or less A (x) = ( µ A Belief (x) 0.5 , µ A Disbelief (x)µ A (x) 0.5
For instance, Let A, B and C are A = { 0.8/x 1 + 0.9/x 2 + 0.7/x 3 + 0.6/x 4 +0.5/x 5 , 0.4/x 1 + 0.3/x 2 + 0.4/x 3 + 0.7/x 4 +0.6/x 5 } B = { 0.9/x 1 + 0.7/x 2 + 0.8/x 3 + 0..5/x 4 +0.6/x 5 , 0.4/x 1 + 0.5/x 2 + 0.6/x 3 + 0.5/x 4 +0.7/x 5 } A V B = { 0.9/x 1 + 0.9/x 2 + 0.
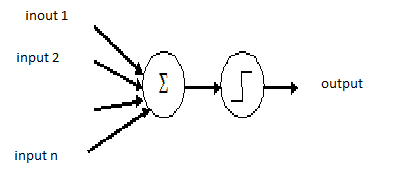
The neural network concept is taken from the Biological activity of nervous system. The neurons passes information to other neurons. There are many models described for neural networks. The McCulloch-Pitts model contributed in understanding neural network and Zedeh explain that activity of neuron is fuzzy process [13].
The McCulloch and Pitt's model consist of set of inputs, processing unit and output and it is shown in Fig.
Zadeh [10] proposed fuzzy set to deal with incomplete information. Generalized fuzzy set with two-fold membership function µ A (x ) = { µ A Belief (x ) , µ A Disbelief (x ) } is studied [18] The fuzzy Certainty Factor may be defined as (FCF) The Generalized fuzzy set for Demand for the Items and fuzzy certainty factor is shown in Fig5. Decision may be taken under Decision shown in Fig. 6.
µ A FCF (x ) = µ A Belief (x ) -µ A Disbelief (x ) , where µ A FCF (x) = µ A Belief (x) -µ A Disbelief (x) µ A Belief (x) ?µ A Disbelief (x) = 0 µ A Belief (x) <µ A Disbelief (x)The fuzzy logic is combination of logical operators. Consider the logical operations on fuzzy Decision sets r1, R2 and R3
Negation If x is not R1 ( ) D Year 2021 R1'=1-µ R1 (x)/x Conjunction x is R1 and y is R2? (x, y) is R1 x R2 R1 x R2=min(µ R1 (x)), µ R2 (y)}(x,y) If x=y x is R1 and y is R2? (x, y) is R1?R2 R1?R2=min(µ R1 (x)), µ R2 (y)}/x x is R1 or y is R2? (x, y) is R1' x R2' R1' x R2' =max(µ R1 (x)), µ R2 (y)}(x,y) If x=y x is R1 and x is R2? (x, x) is R1 V R2 R1VR2=max(µ R1 (x)), µ R2 (y)}/x Disjunction Implication if x is R1 then y is R2 =R1?R2 = min{1, 1-µ R1 (x)) +µ R2 (y)}/(x,y) if x= y R1?R2= min {1, 1-µ R1 (x)) +µ R2 (y)}/x Composition R1 o R2= R1 x R2=min{ µ R1 (x)), µ R2 (y)}/(x,y) If x = y R1 o R2==min{ µ R1 (x)), µ R2 (y)}/xThe fuzzy propositions may contain quantifiers like "Very", "More or Less". These fuzzy quantifiers may be eliminated as
Decision management is usually happens in Decision Support Systems.
The decision has to be taken under incomplete information in many applications like Business, Medicine etc. The fuzzy logic is used to deal with incomplete information The fuzzy Decision set is defined with twofold fuzzy set. The fuzzy logic is discussed with two-fold fuzzy set. The fuzzy Decision set, inference and reasoning are studied. The Business applications is discussed for fuzzy Decision set.




![Decision set R is defined based on convex fuzzy set [10] R= {A , µ A FCF (x )??}, where ??[0,1] For instance, Demand ={ 0..8/x1+0.7/x2+0.86/x3+0.75/x4+0.88/x5, 0.2/x1+0.3/x2+0.25/x3+0.3/x4+0.2/x5 } µ Demand FCF (x ) = 0.6/x1+0.4/x2+0.61/x3+0.45/x4+0.68/x5](https://testing.computerresearch.org/index.php/computer/article/download/2060/version/102230/3-Fuzzy-Reinforcement-Learning_html/39921/image-6.png)


| Young={.95/10+0.9/20+0.8/30+0.6/40+0.4/50+0.3/6 |
| 0+0.2/70+0.15/80+0.1/90} |
| Not young={ 0.05/10 + 0.1/20 + 0.2/30+0.4/40 |
| +0.6/50 + 0.8/60+0.7/70 +0.95/80+0.9/90 } |
| For instance "Rama is young" and the fuzziness |
| of "young" is 0.8 The Graphical representation of young |
| and not young is shown in fig.1 |
| 0.16/x 1 + 0.09/x 2 + 0.16/x 3 + 0.49/x 4 +0.36/x 5 | |||
| µ More or Less A (x) | = ( µ A | Belief (x) 1/2 , µ A | Disbelief (x)µ A (x) 1/2 } |
| = { 0IV. | |||
| Year 2021 | |||
| 8/x 3 + 0.6/x 4 +0.6/x 5 , 0.4/x 1 + 0.5/x 2 + 0.6/x 3 + 0.7/x 4 +0.7/x 5 } A ? B = { 0.8/x 1 + 0.7/x 2 + 0.7/x 3 + 0.5/x 4 +0.5/x 5 , 0.4/x 1 + 0.3/x 2 + 0.4/x 3 + 0.5/x 4 +0.6/x 5 } A' = not A= { 0.2/x 1 + 0.1/x 2 + 0.3/x 3 + 0.4/x 4 +0.5/x 5 , 0.6/x 1 + 0.7/x 2 + 0.6/x 3 + 0.3/x 4 +0.4/x 5 } A? B = { 1/x 1 + 0.8/x 2 + /x 3 + 0.9/x 4 +1/x 5 , 1/x 1 + 1/x 2 + 1/x 3 + 0.8/x 4 +1/x 5 } A o B = { 0.8/x 1 + 0.7/x 2 + 0.7/x 3 + 0.5/x 4 +0.5/x 5 , 0.4/x 1 + 0.3/x 2 + 0.4/x 3 + 0.5/x 4 +0.6/x 5 } = { µ A Belief (x) 2 , µ A Disbelief (x)µ ( ) µ Very A (x) D | |||
| Zadeh inference is given as A?B= min{1, 1-µ A (x) + µ B (x)} | |||||
| µ Demand ? High Price | FCF (x ) = 0.9/x1+1/x2+0.5/x3+1/x4+0.52/x5 | ||||
| µ Demand ? High Price | FCF (x ) ?0.6 = 1/x1+1/x2+0/x3+1/x4+0/x5 | ||||
| Mamdani inference is given as A?B= min{µ A (x) , µ B (x)} | |||||
| µ Demand ? High Price | FCF (x ) = 0.4/x1+.44/x2+0.29/x3+.33/x4+0.2/x5 | ||||
| µ Demand ? High Price | FCF (x ) ?0.6 = 1/x1+1/x2+0/x3+1/x4+0/x5 | ||||
| Mamdani inference is given as A?B= min{µ A (x) } | |||||
| Year 2021 | Example 2 | µ Demand ? High Price µ Demand ? High Price FCF (x ) = 0.4/x1+.44/x2+0.29/x3+.33/x4+0.2/x5 FCF (x ) ?0.6 = 1/x1+1/x2+0/x3+1/x4+0/x5 | |||
| Consider Medical Diagnosis | |||||
| If x has infection in the leg then surgery | |||||
| Let x1, x2, x3, x4, x5 are the Patients. | |||||
| The fuzzy set | |||||
| µ Infection | FCF (x ) = 0.76/x1+0.78/x2+0.46/x3+0.86/x4+0.58/x5, | ||||
| 0.16/x1+0.12/x2+0.06/x3+0.14/x4+0.05/x5} | |||||
| = 0.6/x1+0.64/x2+0.4/x3+0.72/x4+0.53/x5 | |||||
| µ Surgery | FCF (x ) = 0.59/x1+0.26/x2+0.55/x3+0.24/x4+0.35/x5, | ||||
| 0.09/x1+0.06/x2+0.05/x3+0.04/x4+0.03/x5 } | |||||
| = 0.5/x1+0.2/x2+0.5/x3+0.2/x4+0.32/x5 | |||||
| ( ) D | Using inference rule A?B= min{1, 1-µ A (x) + µ B (x)} | ||||
| µ Infection ? Surgery | FCF (x ) = 0.9/x1+0.56/x2+0.9/x3+1/x4+1/x5 | ||||
| µ Infection ? Surgery | R (x ) = 1 µ Infection ? Surgery | FCF (x ) ?6 | |||
| 0 µ Infection ? Surgery | FCF (x ) <6 | ||||
| The fuzzy risk set R is | |||||
| 1/x1+0/x2+1/x3+1/x4+1/x5 | |||||
| Example 1 | µ Infection ? Surgery | FCF (x ) = 0.9/x1+0.56/x2+0.9/x3+1/x4+1/x5 | |||
| Consider Business rule | µ very Surgery | FCF (x ) = 0.25/x1+0.2\04/x2+0.25/x3+0.04/x4+0.1/x5 | |||
| If x is Demand of the product then x is High Price Let x1, x2, x3, x4, x5 be the Items. x is very Demand o Demand?Increase Price | |||||
| The Generalized fuzzy set | =0.35/x1+0.66/x2+0.35/x3+0.04/x4 + 0.1/x5 | ||||
| Demand ={ 0.56/x1+0.48/x2+0.86/x3+0.36/x4+0.88/x5, 0.06/x1+0.04/x2+0.07/x3+0.03/x4+0.2/x5 } | |||||
| VII. | µ Demand | FCF (x ) = 0.5/x1+0.44/x2+0.79/x3+0.33/x4+0.68/x5 | |||
| High Price = 0.49/x1+0.52/x2+0.35/x3+0.4/x4+0.3/x5, | |||||
| 0.09/x1+0.02/x2+0.06/x3+0.02/x4+0.1/x5 } | |||||
| µ High Price | FCF (x ) = 0.4/x1+0.5/x2+0.29/x3+0.38/x4+0.2/x5 | ||||
An experiment in linguistic synthesis with a fuzzy logic control. International Journal of Man-Machine Studies 1975. 7 (1) p. .
Fuzzy Logic, Neural Networks and Soft Computing. Communications of ACM 37 (3) p. .
Some Methods of Reasoning for Conditional Propositions. fuzzy set s and Systems, 1992. 52 p. .
Generalized fuzzy logic for Incomplete Information. IEEE International Conference on fuzzy Systems, (Hyderabad, India
Fuzzy Conditional Inference for Medical Diagnosis. Proceedings of Second International Conference on Fuzzy Theory and Technology, Summary FT & T1993, (Second International Conference on Fuzzy Theory and Technology, Summary FT & T1993) 1993. p. .
Generalized fuzzy set s and Representation of Incomplete Knowledge. fuzzy set s and Systems, 1990. 1 p. .